The Potts model encompasses a number of problems in statistical physics and lattice theory. It generalizes the Ising model so that each spin can have more than two values. It includes the ice-vertex and bond percolation models as special cases. It also is related to graph-coloring problems: if we color each vertex in a lattice with one of q colors, in how many ways do we have exactly n pairs of adjacent vertices colored alike? We won't attempt to survey or even summarize the field, instead referring interested readers to [1].
Here is one special case of the Potts model. We will define a certain polynomial (also called the Whitney-Tutte polynomial; see [2,3,4]) over the finite planar square lattice. The summation is taken over all subgraphs
of the lattice, the subgraphs being formed by removing bonds from the lattice but leaving all the sites. Note that many of these subgraphs will be disconnected, i.e., have multiple components. Consider the polynomial
where
is the number of connected clusters of bonds plus the number of isolated vertices, and
is the nullity or cyclomatic number of
, i.e., the number of independent cycles in
. Euler's relation gives a simple way to compute 
where
is the total number of lattice vertices and
is the number of bonds in
. For the infinite square lattice
, it can be proved (see [2]) that
where
. This remarkable integral formula is one of the few exact formulas associated with the Potts model, and it will be the focus of this paper. Define, for our purposes,
Observe that the integral can be rewritten in the following alternative form (after performing integration by parts):
Here is a graph of
on the interval
Although it isn't known whether the function
has a closed-form expression for all values of y, it can be evaluated explicitly for any y which is a rational multiple of
;. We consider several particular cases of
in the next section. In addition to the integrals (1) and (2), we'll need another representation for
which can be obtained by performing the logarithmic substitution in (1):
where
, and p and q are positive integers.
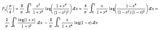
The following cases had been evaluated previously (see [2]), though no derivation of them had been given.

We shall start with the representation (1). Changing the variable of integration
, we obtain:
Expanding the integrand at y = 0, we get:
or
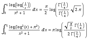
Both integrals can be found in Gradshteyn and Ryzhik, Table of Integrals, Series and Products:
Therefore,

From representation (3) with p = 1, q = 4 we have:
We evaluate each of the integrals separately. The first integral is:
Changing the variable of integration
in the second integral, we observe that
where
is Catalan's constant. Then taking into account that:
we immediately arrive at:
Finally,

p = 1, p = 3. From (2), we have:
Since
, we have after further simplifications:
The first integral is:
Taking into account that:
we arrive at:
In the second integral
we change the variable
:
Taking into account that:
it then follows that:
Finally,

If
, then p=1 and q=2. From (2) we have:
Changing the variable
, the integral is simplified to:
Thus,

p = 2, q = 3. We shall start with representation (1):
Taking into account both formulas in (4), we obtain:
The second integral is:
since
and
Therefore,

It immediately follows from (2) that

From representation (2) we have
All these integrals can be easily evaluated:
Taking into account that:
we obtain:
The Potts model includes the bond percolation model ([5]) as a special case. In [2], Temperley and Lieb derived a closed-form expression for the limiting mean cluster density at the critical probability
:
We will show here that formula (5) can be further simplified to
As far as we know, the exact expression in (6) is new.
Proof. We shall proceed with representation (2). Differentiating, we obtain
The second integral in (7) is almost trivial and can be easily evaluated by Mathematica
In the first integral in (7), we change the variable of integration
. We obtain:
Then using Mathematica, we get:
Thus we have found that:
which completes the proof of identity (5).
Just as the first derivative has an interpretation as a mean value, the second derivative can be regarded as a measure of "fluctuations" in the number of clusters corresponding to the bond percolation model.
We will prove here that
which, again, we believe is a new result.
Proof. First of all, we observe that
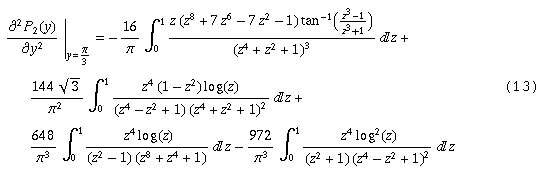
taking into account identity (5). Differentiating the integral on the right side of formula (2) twice with respect to y, we obtain:
Changing the variable of integration
, we arrive at:
All these integrals can be evaluated straightforwardly by Mathematica.
Remarkably, it turns out the first integral (which looks more arduous than the others) is easily done:
Running the other three integrals straightforwardly in Mathematica yields large expressions containing dilogarithm functions. It requires some effort to simplify these expressions. However, we can streamline the integration procedure if we observe that the denominators of the integrands are products of cyclotomic polynomials. It is well known that, if
is cyclotomic, then by definition it divides some
. Hence the following integrand, for example, can be rewritten as
Then, taking into account that:
we have:
Performing further simplifications of polygamma functions, we obtain:
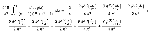
Finally, repeating the same procedure for other integrals in the formula (13), we arrive at:
1. F. Y. Wu, The Potts model, Reviews of Modern Physics, 54 (1982) 235-268..
2. H. N. V. Temperley and E. H. Lieb, Relations between the 'percolation' and 'colouring' problem and other graph-theoretical problems associated with regular planar lattices; some exact results for the 'percolation' problem, Proc. Royal Soc. London A 322 (1971) 251-280.
3. H. N. V. Temperley, Graph Theory and Applications, Ellis Horwood Ltd. 1981
4. N. Biggs, Algebraic Graph Theory, Cambridge Univ. Press, 2nd ed. 1993.
5. S. Finch, Random percolation constants, HTML essay at World Wide Web URL http://www.mathsoft.com/asolve/constant/rndprc/rndprc.html, part of Favorite Mathematical Constants collection (1996).